近日,beat365英国官网网站地理与海洋学院、福建省海洋生物多样性保护与永续利用重点实验室陈建明研究员团队联合自然资源部第一海洋研究所、第三海洋研究所、中国冶金地质总局二局、美国莫特海洋实验室(Mote Marine Laboratory)等在国际主流期刊Harmful Algae、Water Research X发表文章,报道研究团队在生物防控有害赤潮研究领域的最新进展。
赤潮是海洋浮游生物异常增殖导致的海水变色现象。有些赤潮生物能够通过产生藻毒素或增加生物量,影响其它生物生长和正常食物链结构,威胁海洋生态系统功能、近海渔业资源、人类健康甚至生命安全。针对有害赤潮的预防或调控策略是当今藻类学研究的热点和难点问题之一。
米氏凯伦藻(Karenia mikimotoi)是一种在全球范围广泛分布的有毒赤潮藻。该藻能够产生溶血毒素、细胞毒素和过氧化物等,对多种海洋生物例如甲壳动物无节幼体、桡足类、枝角类、鱼类等构成不同程度的危害。2002年以来,米氏凯伦藻在我国长江口邻近海域、东海沿岸至珠江口临近海域几乎连年爆发大规模赤潮;2012年,米氏凯伦藻在浙江、福建近海爆发,造成经济损失超过20亿元,为我国目前由有害赤潮导致的经济损失之首。针对该藻防控方法的研究对于保障海洋生态功能和海洋经济活动具有重要意义。
研究团队依托beat365英国官网网站原生动物种质资源库,对比研究了多种游仆类纤毛虫对米氏凯伦藻的抑制作用,筛选得到对米氏凯伦藻具备高效清除能力的波罗的游仆虫(Euplotes balteatus)(图1)。波罗的游仆虫对米氏凯伦藻的摄食率超过400 cells/E. b/d,生长率达到2.54 ± 0.32/d;根据初始密度的不同可以在4至7天内清除密度高达30,000 cells/mL的米氏凯伦藻;同时,以极低的初始密度(~0.01 cells/mL)限制营养加富条件下米氏凯伦藻藻华的发展(图2)。对于采集自福建平潭的赤潮水样研究发现,波罗的游仆虫表现出对混合物种赤潮的潜在调控能力:在有效控制凯伦藻属细胞密度的同时,清除水体中共生的东海原甲藻(Prorocentrum shikokuense(= P. donghaiense))(图3)。
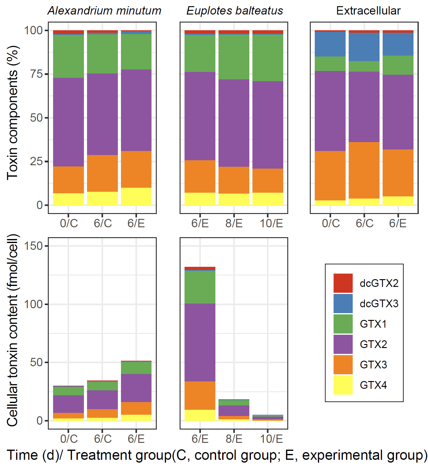
针对典型藻毒素——麻痹性贝类毒素,研究发现波罗的游仆虫对于微小亚历山大藻(Alexandrium minutum)的摄食作用能够有效降低藻华水体的整体毒性,尤其对于细胞内毒素具备极高的清除效率(>95%)(图4、5、6)。理论上讲,该过程能够阻断该毒素通过食物链传递,从而降低更高营养层级的生物受到毒素损害的风险。
综上所述,该研究针对严重威胁海洋生态系统功能、近海渔业资源、人类健康甚至生命安全的有害赤潮问题,提出了一种高效率、高鲁棒的生物调控媒介——波罗的游仆虫,探讨了其具备较强摄食能力的生理基础,阐明了摄食过程对于典型甲藻毒素迁移转化的影响模式。文章第一作者为beat365英国官网网站李靖副教授,通讯作者为beat365英国官网网站陈建明研究员、自然资源部第一海洋研究所陈军辉研究员。
相关论文链接:
[1] Jing Li, Haifeng Gu, Vincent J. Lovko, Chen Liang, Xiaodong Li, Xin Xu, Linxuan Jia, Miaohua Jiang, Jinrong Wang, Jianming Chen. The Ciliate Euplotes balteatus Exhibits Removal Capacity upon the Dinoflagellates Karenia mikimotoi and Prorocentrum shikokuense. Harmful Algae, 2024, 102685, https://doi.org/10.1016/j.hal.2024.102685.
[2] Jing Li, Jinrong Wang, Xiuping He, Haifeng Gu, Xin Xu, Chen Liang, Yongchao Wang, Xiao Xu, Linxuan Jia, Junhui Chen, Miaohua Jiang, Jianming Chen. The ciliate Euplotes balteatus is resistant to Paralytic Shellfish Toxins from Alexandrium minutum (Dinophyceae). Water Research X, 2024, 100229, https://doi.org/10.1016/j.wroa.2024.100229.

图1 波罗的游仆虫和米氏凯伦藻混合培养过程中的粒径多样性和色素积累情况。其中红色荧光为被摄食藻细胞的自发荧光;C形绿色荧光为使用SYBR green I标记的游仆虫的细胞核区域;明亮的绿色点状荧光为被游仆虫摄食但未完全消化的藻细胞核。比例尺 = 50 微米。

图2 不同初始密度的波罗的游仆虫对于不同发展阶段的米氏凯伦藻模拟赤潮的防控效果。

图3 波罗的游仆虫对现场赤潮水样中不同藻类的防控效果。

图4 波罗的游仆虫和微小亚历山大藻。

图5 不同处理组中的细胞内和细胞外麻痹性贝类毒素毒性。

图6 不同处理组中的麻痹性贝类毒素组分和单细胞毒素含量。
